
연세대학교 강남세브란스병원 대장항문외과 강정현 교수팀은 머신러닝을 이용해, 근육량을 예측할 수 있는 알고리즘 개발 연구를 진행했다고 밝혔다. 이번 연구는 국제학술지 ‘Nutrition’에 게재됐다.
암 환자의 골격근은 치료 예후와 관련이 깊다. 근육에 침착된 지방이 많을수록, 근육량이 감소할수록 암 치료의 예후가 좋지 않다. 특히 대장암 환자에서 CT를 통해 확인되는 근지방 증가 및 근육량 감소는 환자의 나쁜 예후와 관련이 있는 것으로 알려져 있다.
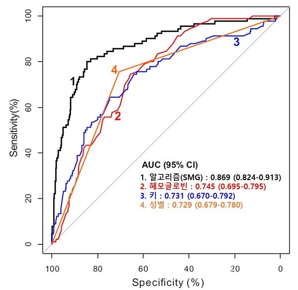
근감소증을 CT를 이용해서 측정하고자 할 때, 골격근량 지수(Skeletal muscle index, SMI)와 골격근 방사선 밀도(Skeletal muscle radiodensity, SMD)가 지표로서 주로 사용된다. 더하여 SMI와 SMD를 동시에 고려하는 근게이지(Skeletal muscle gauge, SMG)가 예후를 정확히 예측하는 지표라는 연구 결과가 이미 제기됐다.
이 지표들은 예후를 잘 예측한다는 장점은 있지만 CT 검사를 시행해야 확인이 가능하다는 한계점이 존재한다. 통상 수술을 시행하기 전 CT검사를 시행하는 것은 필수적인 과정이나, 수술 이후에는 비용 문제와 방사능 노출 등 환자의 불편감 때문에 CT 검사를 잘 진행하지 않기 때문이다.
연구진은 환자군을 예측 방법을 생성하는 트레이닝 그룹(656명)과, 예측모델을 실제로 적용해보는 테스트 그룹(438명)으로 나누어 연구를 진행했다. 그 결과 트레이닝 그룹의 AUC(곡선하면적) 값이 84.6% 수준으로 우수했으며. 알고리즘을 적용한 테스트 그룹의 AUC 또한 86.9% 정도로 우수한 성능을 보였다. 이는 다른 피검사 수치(혈색소, 알부민 등)나 성별, 키, 몸무게 등의 임상 지표들보다도 우수한 수치다.
강정현 교수는 “이 알고리즘의 장점은 근감소증 상태를 감지하기 위한 선별도구로 채택될 수 있다는 것”이라며 “무엇보다 CT를 이용한 진단 시 동반되는 비용 및 방사선 노출의 어려움을 극복해, 환자의 불편감을 줄이고 예후를 예측할 수 있다”고 말했다.
김지예 헬스인뉴스 기자 press@healthinnews.kr
김지예 기자
press@healthinnews.kr


