- 무산소하면 유산소만 했을 때보다 체질량지수, 혈압, 콜레스테롤 등 낮아
- 성인뿐만 아니라 청소년도 같은 결과 보여

세브란스병원 가정의학과 이지원, 강남세브란스병원 헬스체크업 송유현 교수, 연세대 의과대학 의생명시스템정보학교실 이예지 박사, 박준형내과 김민효 부원장 연구팀은 심혈관, 대사질환 위험을 낮추기 위해서는 유산소운동보다 무산소운동이 효과적이라고 21일에 밝혔다.
성인과 청소년을 대상으로 나눠 진행한 연구 결과는 ‘BMC 공중보건’(BMC Public Health), ‘한국가정의학저널’(Korean Journal of Family Medicine)에 각각 게재됐다.
세계보건기구(WHO)에 따르면 전세계 사망 원인의 약 2/3는 심혈관질환, 2형 당뇨, 비만이다. 사망 위험을 줄이기 위해서는 운동이 필수다. 운동은 크게 유산소운동, 무산소운동으로 구분할 수 있다. 유산소운동은 혈청지질 수치, 혈압 개선과 심폐 지구력 향상을 가져오고 무산소운동은 인슐린 감수성과 근력 개선 효과가 있다.
세계보건기구는 18~64세 어른은 한주에 150분 이상의 중등도 유산소활동을 하거나 대안으로 한주에 75분 이상의 고강도 유산소운동을, 무산소운동은 한주에 최소 2일을 권장한다. 청소년기 운동도 성인기 만성질환을 예방할 수 있는 효과적인 방법이다.
국민건강영양조사 자료를 이용해 성인 1만 3971명, 청소년 1222명을 두 운동을 모두 하는 그룹, 무산소운동만 하는 그룹, 유산소운동만 하는 그룹, 두 운동 모두 안하는 그룹 등 네가지 그룹으로 구분했다.

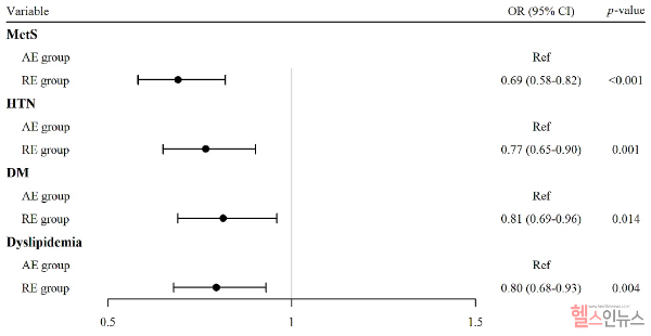
성인 그룹에서 당뇨병 등 대사질환, 고혈압 발병 위험이 낮은 순은 모두 한 그룹, 무산소운동 그룹, 유산소운동 그룹, 모두 안한 그룹 순이었다. 무산소운동 그룹과 유산소운동 그룹을 비교했을 때 무산소운동 그룹은 체질량지수, 허리둘레, 혈압, 콜레스테롤, 인슐린 저항성 등에서 낮은 수치를 보였다. 무산소운동 그룹은 유산소운동 그룹보다 허리둘레가 2.1cm, 혈압은 1.7mmHg, 콜레스테롤은 3.0mg/dL, 혈당은 2.51mg/dL, 인슐린은 0.41IU/L 각각 낮았다.
질병 유병률에서도 무산소운동 그룹이 뛰어난 결과를 보였다. 무산소운동 그룹은 대사증후군, 고혈압, 당뇨병, 이상지질혈증 유병률이 31%, 27%, 19%, 20% 낮았다.
청소년 그룹에서도 비슷한 결과를 확인할 수 있었다. 무산소운동만 한 그룹이 유산소운동만 한 그룹보다 콜레스테롤, 저밀도 콜레스테롤 수치가 낮았다. 콜레스테롤과 저밀도 콜레스테롤 수치는 10.2mg/dL, 8.5mg/dL 낮았다.
이지원 교수는 “성인, 청소년 모두 무산소운동만 하는 그룹이 유산소운동만 하는 그룹에 비해 심혈관, 대사질환 위험이 낮았다”며 “이제까지 유산소운동의 중요성만 주로 강조하는 경우가 있었는데 무산소운동이 주는 대사적 이점을 이번 연구를 통해 증명했으며 두 운동 모두 한 그룹이 가장 좋은 결과를 보인 만큼 두 운동을 균형있게 하는게 중요하다”고 말했다.
김국주 헬스인뉴스 기자 press@healthinnews.kr
김국주 기자
press@healthinnews.kr


