한림대동탄성심병원 외과 김종완 교수 연구팀, 고령 vs 젊은 대장암환자 예후 분석... 꾸준한 항암치료 결과 5년 생존율 12.5%p↑

한림대학교동탄성심병원 외과 김종완 교수 연구팀은 ‘젊은 성인 대장암 환자의 임상병리학적 특성과 항암치료가 예후에 미치는 영향(A Retrospective Multicenter Study of the Clinicopathological Characteristics and Prognosis of Young Adult Patients with Colorectal Cancer: Effects of Chemotherapy on Prognosis)’ 연구에서 이 같은 내용을 확인했다. 이 논문은 국제적으로 권위 있는 SCIE급 학술지인 ‘임상의학저널(Journal of Clinical Medicine, IF(인용지수): 4.964)’ 최근호에 게재됐다.
연구팀은 대장암 0~3기 진단을 받은 45세 이하 젊은 환자 93명과 45세가 넘는 고령환자 1899명의 치료 후 생존율을 분석했다. 젊은 대장암 환자의 평균 연령은 38.8세였고, 고령 대장암 환자의 평균 연령은 67.7세였다.
젊은 대장암 환자, 악성도 높고 응급수술 많아
두 그룹 중 암의 특징은 젊은 환자 그룹이 고령환자 그룹보다 더 나빴다. 병리학적 분석에서 조직학적으로 악성도가 높은 암의 비율은 젊은 환자 그룹이 11.8%로 고령환자 그룹 5.4%보다 높았다. 림프혈관과 신경주위 침습 비율도 각각 45.2% 대 38.8%, 26.9% 대 18.7%로 나타나, 젊은 환자 그룹이 더 나쁜 암으로 진단됐다.
반면 고령환자 그룹은 정기검진에서 암을 진단받은 비율이 41.3%로 젊은 환자 그룹 32.3%보다 높았다.
꾸준한 항암치료 받은 젊은 환자, 치료예후 훨씬 좋아
두 그룹에서 복강경수술 비율, 합병증, 입원기간 등의 요인은 유의미한 차이는 보이지 않았지만, 항암치료를 받은 비율은 젊은 환자 그룹이 62.4%로 고령환자 그룹 45.3%보다 높아 치료예후에 주요한 영향을 끼쳤다. 또 고령환자 그룹에서는 20%가 치료를 마치기 전 항암치료를 중단했지만 젊은 환자 그룹에서는 8.8%만이 항암치료를 중단했다. 복합항암제를 사용한 비율도 젊은 환자 그룹이 45.2%로 고령환자 그룹 27%보다 컸다.
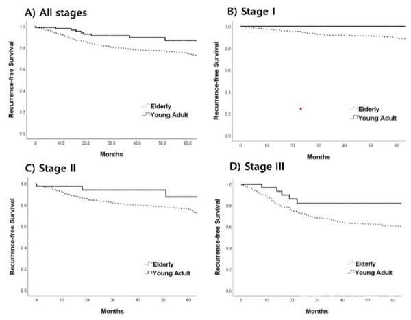
이러한 결과로 젊은 대장암 환자그룹은 치료가 까다로운 특징의 암을 앓았고, 진단과 치료가 늦어졌지만 예후는 더 좋았다. 암 치료 후 암이 재발하지 않고 생존해 있는 5년 무재발 생존율은 젊은 환자 그룹이 86.7%로 고령환자 그룹 74.2%보다 12.5%p 높았다. 특히 병기가 높아질수록 차이가 벌어져, 1기에서는 100% 대 89.5%, 2기에서는 87.4% 대 75.2%, 3기에서는 82% 대 60.3%로 무려 21.7%p까지 높아졌다.
김종완 교수는 “이번 연구를 통해 젊은 대장암 환자는 고령환자보다 항암치료를 더 많이, 중단하지 않고 받았으며, 복합항암제를 더 많이 사용해 무재발 생존율이 높은 것으로 나타났다”며 “연령이 높을수록 항암치료에 대해 거부감을 갖는 경우가 많지만 항암화학요법은 암의 성장을 억제하고 크기를 줄이며 암세포를 완전히 제거해 완치를 기대할 수 있게 하는 매우 중요한 치료과정”이라고 강조했다.
김지예 헬스인뉴스 기자 press@healthinnews.kr
김지예 기자
press@healthinnews.kr


