우리나라에서 무릎 퇴행성 관절염으로 병원을 찾는 환자 수는 지속적으로 증가하여 작년에는 약 320만 명에 달했다. 이는 10여 년 전보다 약 25% 이상 증가한 수치로, 인구 고령화에 따라 앞으로도 계속 늘어날 것으로 예상된다. 퇴행성 관절염은 연골 손상으로 인한 통증, 움직임의 제한, 부기와 같은 증상을 동반하며 다리 모양이 O자형으로 변형되기도 한다. 이로 인해 보존적 치료로 충분한 효과를 보지 못한 일부 환자들은 교정절골술과 같은 수술적 치료를 고려하게 된다.
교정절골술은 다리의 휘어진 형태를 교정하여 체중이 무릎의 안쪽에서 바깥쪽으로 옮겨지게 함으로써 통증을 줄이고 관절 기능을 개선하는 수술이다. 그러나 내측 관절선 열림(무릎 안쪽 관절의 공간이 열리는 정도)이 과도하거나 부족할 경우, 무릎 관절에 비정상적인 압력이 가해져 수술한 무릎뿐만 아니라 반대쪽 무릎에도 퇴행성 관절염의 위험이 증가할 수 있다.
한혁수 서울대병원 정형외과 교수팀은 2007년부터 2020년까지 서울대병원에서 교정절골술을 받은 환자 197명을 대상으로 약 6년간 추적 관찰하며 수술 후 양 무릎의 예후에 영향을 미치는 방사선학적 요인을 분석한 연구 결과를 21일 발표했다.
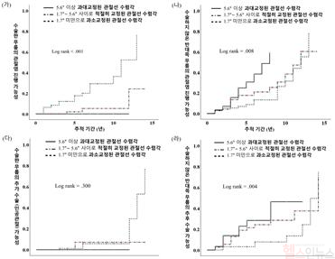
연구팀은 수술 전후 X-ray 사진을 통해 관절선 수렴각(JLCA), 무게중심선 비율(WBLR), 관절선 경사각(Joint Line Obliquity Angle) 등 다양한 방사선학 지표를 분석했다.


특히, JLCA가 과대 교정된 경우(내측 관절선 열림이 큰 상태, ΔJLCA가 5.6°보다 큰 경우)에는 수술하지 않은 반대쪽 무릎에서 관절염이 더 빠르게 진행되고 수술이 필요할 가능성이 높았다(P = .027, P = .006). 반대로, JLCA가 과소 교정된 경우(내측 관절선 열림이 작은 상태, ΔJLCA가 1.7°보다 작은 경우)에는 수술한 무릎에서 관절염이 더 심해지고, 인공관절 치환술로 전환할 가능성이 높았다(P = .014, P = .027).
이러한 결과는 수술 후 관절선 수렴각의 적정 교정을 유지하는 것이 무릎 건강을 장기적으로 보존하는 데 필수적이라는 것을 시사한다.
이번 연구는 교정절골술이 수술한 무릎뿐만 아니라 수술하지 않은 반대쪽 무릎에도 장기적인 영향을 미친다는 점을 최초로 규명함으로써, 수술 계획 수립 시 보다 넓은 시야에서 환자의 양쪽 무릎을 고려해야 한다는 중요한 임상적 지침을 제공했다. 이러한 연구는 교정절골술을 고려하는 환자와 의료진에게 수술 후 장기적 결과를 개선할 수 있는 근거를 제시하며, 수술 효과를 극대화하기 위한 중요한 기초 자료로 활용될 수 있을 것으로 기대된다.

김근우 박사과정 연구원은 “이번 연구는 교정절골술 후 수술한 무릎뿐 아니라 반대쪽 무릎에도 미치는 영향을 규명해 수술 계획 수립 시 보다 포괄적인 접근이 필요함을 보여준다”고 덧붙였다.
이 연구 결과는 정형외과 분야의 권위 있는 국제 학술지인 ‘AJSM(American Journal of Sports Medicine)’ 최근호에 게재됐다.
김국주 헬스인뉴스 기자 press@healthinnews.kr
김국주 기자
press@healthinnews.kr


